メインコンテンツへ移動

数学入試問題

大学入試の数学問題を楽しもう

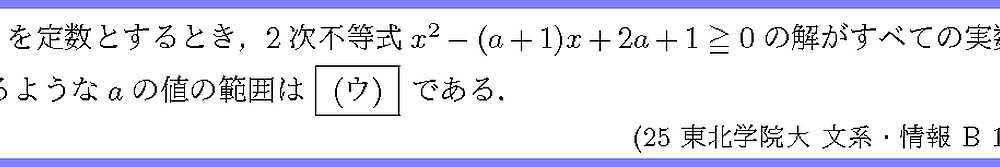
25東北学院大・文系・情報B1-3

メインメニュー

  • ホーム
  • 問題サーチ
  • プリント
  • 書いたもの
    • チェック&リピート
    • 問題精講

投稿ナビゲーション

← 前へ 次へ →

25年 東北学院大 文系・情報 B 1(3)

投稿日時: 2025年8月2日 投稿者: t-kame

25東北学院大・文系・情報B1-3

上の問題文をクリックしてみて下さい.
リンク:すべての~

平方完成してグラフをイメージするか,判別式の利用を考えます.

カテゴリー: 数学I, 2次関数   タグ: すべての~   作成者: t-kame   この投稿のパーマリンク
Proudly powered by WordPress
error: Content is protected !!