メインコンテンツへ移動
サブコンテンツへ移動

数学入試問題

大学入試の数学問題を楽しもう

数学入試問題

メインメニュー

  • ホーム
  • 問題サーチ
  • プリント
  • 書いたもの
    • チェック&リピート
    • 問題精講

日別アーカイブ: 2026年1月2日

25年 茨城大 工 2(1)

投稿日時: 2026年1月2日 投稿者: t-kame

25茨城大・工2-1

上の問題文をクリックしてみて下さい.
リンク:式の値:2文字の対称式

(i)(ii)はx+1/xで表すことができます.

カテゴリー: 数と式, 数学I | タグ: 式の値:2文字の対称式

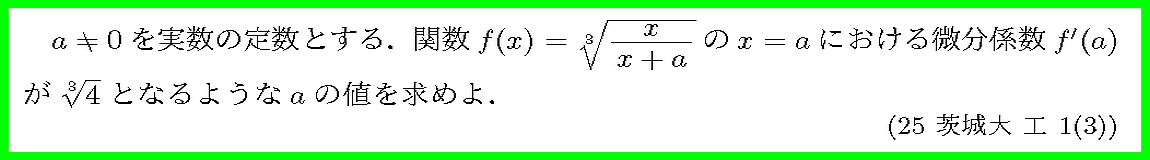
25年 茨城大 工 1(3)

投稿日時: 2026年1月2日 投稿者: t-kame

25茨城大・工1-3

上の問題文をクリックしてみて下さい.
リンク:微分係数

まずはf(x)の導関数を求めましょう.

カテゴリー: 微分, 数学III | タグ: 微分係数

20年 千葉大 10

投稿日時: 2026年1月2日 投稿者: t-kame

20千葉大・10

上の問題文をクリックしてみて下さい.
リンク:倍数・約数

有理数aは a=p/q(p,qは互いに素な整数でq>0)と表すことができます.

カテゴリー: 数学A, 整数 | タグ: 倍数・約数

コメント一覧

  • 25年 茨城大 工 3(3) に kame より
  • 25年 茨城大 工 3(3) に rdzn より
  • 25年 東京理科大 工学部 1(3) に kame より

チェック&リピート

IA表紙 IIB+C表紙 IIIC表紙

ブックマーク

  • 大学入試数学問題集成
  • 大学発の過去問情報
  • 2026年解答速報
2026年1月
日 月 火 水 木 金 土
« 12月   2月 »
 123
45678910
11121314151617
18192021222324
25262728293031

問題項目

  • 余録 (38)
  • 数学A (895)
    • 場合の数 (146)
    • 平面図形 (74)
    • 整数 (304)
    • 確率 (356)
  • 数学B (803)
    • ベクトル (391)
    • 数列 (365)
    • 確率分布・統計 (46)
  • 数学C (2)
  • 数学I (608)
    • データの分析 (65)
    • 三角比 (126)
    • 数と式 (101)
    • 集合と論証 (72)
    • 2次関数 (224)
  • 数学II (1,229)
    • 三角関数 (171)
    • 図形と方程式 (215)
    • 微分積分 (393)
    • 指数・対数 (201)
    • 方程式・不等式 (237)
  • 数学III (1,303)
    • 式と曲線 (63)
    • 微分 (211)
    • 数列の極限 (99)
    • 積分 (627)
    • 複素数平面 (274)
    • 関数 (59)
  • 未分類 (22)

カウンタ

  • 3695931累計:
  • 1577今日:
  • 3298昨日:
Proudly powered by WordPress
error: Content is protected !!