数学IIIチェック&リピート
グラフの概形
← 最大・最小 →
方程式への応用
問題文をクリックすると解答をみることができます.
最大・最小 †

類題演習 †

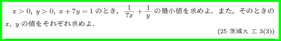
一文字消去を実行しましょう.
2%E6%9C%886%E6%97%A51-2problem.png)
指数関数の微分の確認です.

(2)は(1)の利用を考えましょう.計算力が問われています.
4problem.png)
計算力が試されています.

共通接線および最大値について問われています.

接線の方程式,最小値を求めることにより微分の基礎力を問うています.

S(a) は a による場合分けが必要です.

積分を利用しなくても面積は求まります.

グラフを描きましょう.端点の値と極値の大小を比較して最大最小が確定します.

合成関数の最大値,最小値をテーマに定義域,値域の扱いが問われています.

計算力が問われています.

ベクトルの内積で cos は t で表すことができます.最大最小は数学IIIの微分です.

誘導に従って進んでいきましょう.

最大となるxについての極限値を求めます.微分法とハサミウチの原理を用いましょう.

導関数は対数微分法を利用します.

文字が多いのですが,導関数f’(x)の符号をおさえることはできます.

変数のとり方を工夫しましょう.

rが最大となるxの値はr^2が最大となるxの値と一致します.計算が簡単になるように工夫しましょう.