メインコンテンツへ移動

数学入試問題

大学入試の数学問題を楽しもう

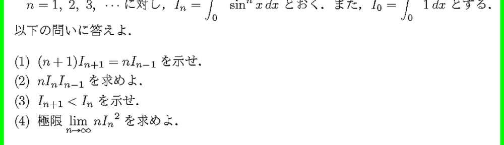
24中央大・理工4

メインメニュー

  • ホーム
  • 問題サーチ
  • プリント
  • 書いたもの
    • チェック&リピート
    • 問題精講

投稿ナビゲーション

← 前へ 次へ →

24年 中央大 理工 4

投稿日時: 2024年9月14日 投稿者: t-kame

24中央大・理工4

上の問題文をクリックしてみて下さい.
リンク:定積分と漸化式

部分積分法を用いて漸化式をつくりましょう.

カテゴリー: 数学III, 積分   タグ: 定積分と漸化式   作成者: t-kame   この投稿のパーマリンク
Proudly powered by WordPress
error: Content is protected !!