数学IIIチェック&リピート
§1 導関数:導関数の定義微分係数連続,微分可能


問題文をクリックすると解答をみることができます.


微分係数

問題文をクリックしてみて下さい.


類題演習

問題文をクリックしてみて下さい.
微分係数に持ち込むか,(sinθ)/θ→1(θ→0)に持ち込むか.

問題文をクリックしてみて下さい.
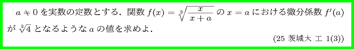
まずはf(x)の導関数を求めましょう.

問題文をクリックしてみて下さい.
微分係数の定義を確認しておきましょう.

問題文をクリックしてみて下さい.
微分係数の定義に持ち込むか,変数を置き換えるか.

問題文をクリックしてみて下さい.
微分係数の定義を確認しておきましょう.

問題文をクリックしてみて下さい.
右からの極限と左からの極限が一致することを確認します.


トップ   編集 凍結 差分 バックアップ 添付 複製 名前変更 リロード   新規 一覧 単語検索 最終更新   ヘルプ   最終更新のRSS
Last-modified: 2026-01-02 (金) 14:41:38 (62d)